浸潤性與接觸角
蓮藕從淤泥中拔出比較干凈、荷葉表面的水近似呈球狀、水黽可以在水面行走、雨披可以防雨、農藥溶液能散布于農作物表面等現象,與液體對固體表面的浸潤(又稱濕潤,wetting)有關。引起浸潤現象是源于分子間相互作用的表面張力,表面張力是界面上單位面積的自由能。如圖1-1是液體在固體表面的靜態濕潤模型:

圖1-1 靜態接觸角示意圖
接觸角θ指的是在氣——液——固交界處(三重線,又稱接觸點)液——固交界面與氣——液交界面的夾角,用于衡量浸潤程度,其值越小則浸潤性越好。假設不受限于分子直徑,液體在固體表面無限鋪展開,這稱為完全浸潤,此時θ=0°;液體與固體的接觸面具有一定的面積且0°<θ<180°,則稱為不完全浸潤;如果θ=180°,則稱為完全不浸潤。一般定義θ<90°時,液體可以濕潤(浸潤)固體;θ>90°時,液體不可以濕潤固體。
水是最常見的液體,它的浸潤情況與憎水性(hydrophobicity)對應,接觸角越大時則表示憎水性越好。
● 當θ<90°時通常稱對應材料具有親水性;
● 當θ>90°時通常稱對應材料具有憎水性。
液體對固體的浸潤作用一般可用黏附功來表征,它表示在真空中使單位面積的液體與固體的界面分離,留下裸固體表面所需的功,即

(1-1)
式中:為黏附功:、分別為真空中固體、液體的表面張力:為液——固相的界面張力。
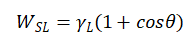
黏附功越大說明液體的浸潤性越好。雖然黏附功可以準確表征沒潤性,但實際中,由于涉及固體的表面張力,準確測量難度高,以黏附功表征浸潤性的做法難以實現。為了得到一個便于實際測量且能準確表征浸潤性的量,經過推導發現黏附功與液體表面張力和接觸角滿足如下關系

(1-2)
式(1-2)稱為 Young-Dupre 公式,它給出了黏附功與液體表面張力和接觸角的關系。假設接觸角為180°時,由式(1-2)可知黏附功為0,固液不存在吸引力,分離過程無需做功,液體完全不能浸潤固體。
將式(1-1)帶入式(1-2)得到式(1-3)

(1-3)
式(1-3)稱為 Young 方程,θ又稱 Young接觸角。
上一篇:靜態接觸角常用的測量方法

